Friday, October 10, 2014

Annuity Payments At Beginning Of Period

Pictures of Annuity Payments At Beginning Of Period

Chapter 5
Recognize and adjust values for beginning-of-period annuity payments as opposed to end-of-period annuity payments LG7: Explain the impact of compounding frequency and the difference between the annual percentage rate and the effective annual rate LG8: ... Return Doc

Images of Annuity Payments At Beginning Of Period

A CONSUMER'S GUIDE TO ANNUITIES - NCDOI
An established period of time, often beginning at retirement age. Payments are generally annuity payments begin? Generally, a death benefit equal to the contract value is payable to your beneficiary if you die before you annuitize ... View This Document

How Amortization Works - Understand And Calculate Amortization
Amortization is the elimination of a debt over time. With an amortization schedule, you can see how payments are applied to principal and interest. This page explains amortization, and then you can generate an amortization schedule with our free online calculator. ... Read Article

Annuity Payments At Beginning Of Period

PowerPoint Presentation
Account End Beginning Period 1 Period 2 Period 3 Period 4 Ordinary Summary Annuities are payments of equal cash payments per period for a given period of time Ordinary annuities is an annuity in which payments are made at the end of the period Annuity due is an ... Fetch Doc

Annuity Payments At Beginning Of Period Images

Unit 9: ANNUITIES - University Of Connecticut
UNIT 9 ANNUITIES - 1 - 9.1 Annuities-Certain An annuity-certain is a series of payments made at equal intervals of time over a specified period. ... Fetch Content

Images of Annuity Payments At Beginning Of Period

Interest, Annuity And Amortization - Kwary
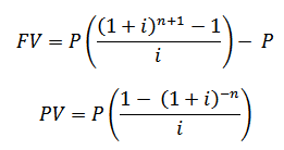
In an ordinary annuity, payments or receipts occur at the end of each period; in an annuity due, payments or receipts occur at the beginning of each period. FVAn = p (1 + i)n – 1 i Example #3: Ben and Jack have just got full time jobs. Both of them are ... Access Doc

Photos of Annuity Payments At Beginning Of Period

Slide 1
An annuity with payments at the beginning of the period is known as an annuity due. To find the future value of an ordinary annuity, Part I First, let’s calculate the PV of the annuity as of the beginning of the annuity period. ... Read More

Annuity (US Financial Products) - Wikipedia, The Free ...
In the United States an annuity contract is created when an insured party, usually an individual, pays a life insurance company a single premium that will later be distributed back to the insured party over time. Annuity contracts traditionally provide a guaranteed distribution of income over ... Read Article

Annuity Payments At Beginning Of Period Photos

VI Annuity Income Options - Insurance Schools
Characterized with income payments beginning within one year of the accumulation period. Immediate annuities can only be funded with a single payment, and are therefore called A life annuity with period certain pays the annuitant: A. ... Document Retrieval

Annuity Payments At Beginning Of Period Images

214 New Laws Take Effect Jan. 1, 2012
More than 200 new laws, covering everything from local library boards to murder, will take effect Jan. 1. ... Read News

Annuity Payments At Beginning Of Period

Time Value Of Money Concepts - The University Of Texas At El ...
Because an annuity is a stream of payments over a period of time, our previous discussion of the time value of money would indicate that there must be an interest Because they are made at the beginning of the period these lease payments are annuity due payments. ... Doc Viewer

Images of Annuity Payments At Beginning Of Period

Analyzing Annuity Cash Flows A. Used To Compute Loan payments ...
Annuity A. Series of cash flows (payments) cash flows occur at the beginning of the periods. A. Note that each has the same number of cash flows. The difference is the timing of the cash flows. B. There is one more compounding period in an annuity due. Therefore, the ... Return Document

Annuity Payments At Beginning Of Period

American General Life Companies
Receive regular income payments beginning on your Annuity Date that are guaranteed to continue for the duration of your lifetime1. benefi ciaries will continue to receive the remaining payments until the guaranteed period is over. Payments end when the guaranteed period ends, ... Access This Document

Annuity Payments At Beginning Of Period Images

GROWING ANNUITIES - University Of Tennessee
Or receipts occur at the end of each period; in an annuity due , payments or receipts occur at the beginning of each period. Growing Annuity: A series of payments or receipts occurring over a specified number of periods that increase each period at a constant ... View This Document

Annuity Payments At Beginning Of Period Pictures

Present Value And Annuities - Edocr | Edocr
Ordinary Annuity – start at end of period (also called arrears) Annuity Due – payments start at beginning of year On the ... Read Full Source

Present Value - Wikipedia, The Free Encyclopedia
For an annuity immediate, payments are received (or paid) at the end of each period, at times 1 through , while for an annuity due, payments are received (or paid) at the beginning of each period, at times 0 through ... Read Article

Images of Annuity Payments At Beginning Of Period

Section 6.3: Future Values Of Annuities - University Of Utah
MATH 1090 Sec. 5 Section 6.3: Future Values of Annuities De nitions: An annuity is the xed amount of payment. (a) An annuity certain: the payments begin and end on xed dates. ... Fetch Document

Annuity Payments At Beginning Of Period

ATHENE MaxRetireSM A Single Premium Immediate
Income Payment Single Life Options* • Income for Life – Annuity payments will be made to the payee beginning on the payment start date and ... Return Doc

Pictures of Annuity Payments At Beginning Of Period

Guaranteed Future Income Annuity FACT SHEET
Guaranteed Future Income Annuity FACT SHEET Provides income payments beginning on guaranteed period, payments would continue as long as the annuitant is living.5 If the annuitant (or both an-nuitants in a Joint Life policy) ... Retrieve Content

Deferred Annuities (The Accumulation Period Series) - YouTube
Annuity payments are linked to the value of the underlying investments, If the chosen index rises sufficiently during a specific period, Partial annuitization: Beginning in 2011, ... View Video

Pictures of Annuity Payments At Beginning Of Period

What annuities Are And How To Eat Them - Homepage | College ...
Rate at which interest is paid Payment period – the interval between annuity payments Payment an annuity in which payments are made at the beginning of each period for n periods Continuous Annuity Continuously compounding interest rate The frequency of payments is infinite Exercise ... Doc Retrieval

Calculating Future Value Using Excel's PMT Function
The PMT function, one of Excel's Financial functions, can be used to calculate the payments for a loan or the future value of an investment. The syntax for the PMT function is: ... Read Article

FI360 Final Exam Study Guide - YouTube
An annuity is considered: a. an ordinary annuity if the payments occur at the beginning of each period. 10. If you invest $2,500 in a bank account that pays 6% interest compounded monthly, how much will you have in five years? 11. ... View Video

Photos of Annuity Payments At Beginning Of Period

Pennsylvania Girl, 7, Whose Nose Was Partially Bitten Off Gets $300,000 Settlement
Pennsylvania Girl, 7, Whose Nose Was Partially Bitten Off Gets $300,000 Settlement Legal A $300,000 settlement has been announced for the family of a 9-year-old Pennsylvania girl whose nose was partially bitten off by a neighbor’s Pit Bull two and a half years ago. Attorney Thomas J. Newell, who represented the family, announced that a lawsuit was filed against the dog owners in April by Andrew ... Read News

Time Value Of Money - Wikipedia, The Free Encyclopedia
The payments or receipts occur at the end of each period for an ordinary annuity while they occur at the beginning of each period for an annuity due. (FVA) is the future value of a stream of payments (annuity), assuming the payments are invested at a given rate of interest. Contents. 1 ... Read Article

No comments:

Post a Comment